Femtoscopic correlations of identical charged pions and kaons in pp collisions at $\sqrt{s}=13$ TeV with event-shape selection

Description
Figures from paper submitted to Physical Review C
Abstract:

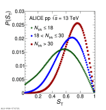
Collective behavior has been observed in high-energy heavy-ion collisions for several decades. Collectivity is driven by the high particle multiplicities that are produced in these collisions. At the CERN Large Hadron Collider (LHC), features of collectivity have also been seen in high-multiplicity proton-proton collisions that can attain particle multiplicities comparable to peripheral Pb-Pb collisions. One of the possible signatures of collective behavior is the decrease of femtoscopic radii extracted from pion and kaon pairs emitted from high-multiplicity collisions with increasing pair transverse momentum. This decrease can be described in terms of an approximate transverse mass scaling. In the present work, femtoscopic analyses are carried out by the ALICE Collaboration on charged pion and kaon pairs produced in pp collisions at $\sqrt{s}=13$ TeV from the LHC to study possible collectivity in pp collisions. The event-shape analysis method based on transverse sphericity is used to select for spherical versus jet-like events, and the effects of this selection on the femtoscopic radii for both charged pion and kaon pairs are studied. This is the first time this selection method has been applied to charged kaon pairs. An approximate transverse-mass scaling of the radii is found in all multiplicity ranges studied when the difference in the Lorentz boost for pions and kaons is taken into account. This observation does not support the hypothesis of collective expansion of hot and dense matter that should only occur in high-multiplicity events. A possible alternate explanation of the present results is based on a scenario of common emission conditions for pions and kaons in pp collisions for the multiplicity ranges studied.

Phys. Rev. C 109, 024915 (2024)
e-Print: arXiv:2310.07509 | PDF | inSPIRE

Paper

Energy
13 TeV
System
p-p
Scope: PWG
PWG-CF (Flow and Correlations)
Figure image (.eps)
Figure image (.pdf)
Energy
13 TeV
System
p-p
Scope: PWG
PWG-CF (Flow and Correlations)
Figure image (.eps)
Figure image (.pdf)
Energy
13 TeV
System
p-p
Scope: PWG
PWG-CF (Flow and Correlations)
Figure image (.eps)
Figure image (.pdf)
Energy
13 TeV
System
p-p
Scope: PWG
PWG-CF (Flow and Correlations)
Figure image (.eps)
Figure image (.pdf)
Energy
13 TeV
System
p-p
Scope: PWG
PWG-CF (Flow and Correlations)
Figure image (.eps)
Figure image (.pdf)
Energy
13 TeV
System
p-p
Scope: PWG
PWG-CF (Flow and Correlations)
Figure image (.eps)
Figure image (.pdf)
Energy
13 TeV
System
p-p
Scope: PWG
PWG-CF (Flow and Correlations)
Figure image (.eps)
Figure image (.pdf)
Energy
13 TeV
System
p-p
Scope: PWG
PWG-CF (Flow and Correlations)
Figure image (.eps)
Figure image (.pdf)
Energy
13 TeV
System
p-p
Scope: PWG
PWG-CF (Flow and Correlations)
Figure image (.eps)
Figure image (.pdf)
Energy
13 TeV
System
p-p
Scope: PWG
PWG-CF (Flow and Correlations)
Figure image (.eps)
Figure image (.pdf)
Energy
13 TeV
System
p-p
Scope: PWG
PWG-CF (Flow and Correlations)
Figure image (.eps)
Figure image (.pdf)
Energy
13 TeV
System
p-p
Scope: PWG
PWG-CF (Flow and Correlations)
Figure image (.eps)
Figure image (.pdf)
Energy
13 TeV
System
p-p
Scope: PWG
PWG-CF (Flow and Correlations)
Figure image (.eps)
Figure image (.pdf)
Energy
13 TeV
System
p-p
Scope: PWG
PWG-CF (Flow and Correlations)
Figure image (.eps)
Figure image (.pdf)
Energy
13 TeV
System
p-p
Scope: PWG
PWG-CF (Flow and Correlations)
Figure image (.eps)
Figure image (.pdf)