Figure 2a

Scope: PWG
PWG-CF (Flow and Correlations)
Energy
13 TeV
System
p-p
Figure Image
Figure image (.eps)
Figure image (.pdf)
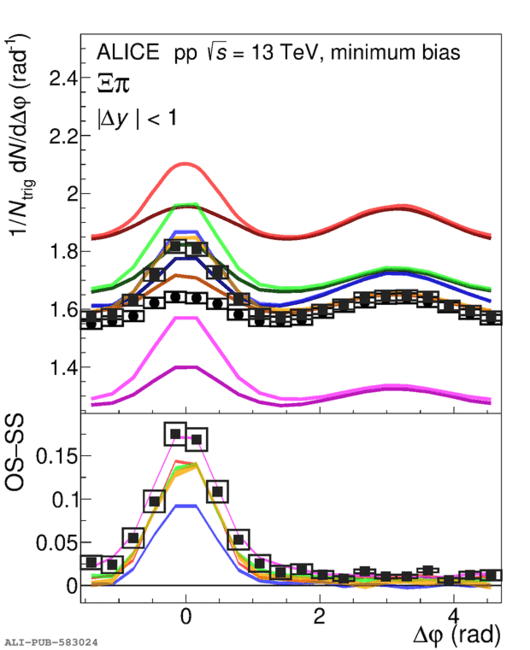
Figure Caption

$\Xi^-\pi^+$ and $\Xi^-\pi^-$ (and charge conjugate) correlation functions projected onto $\Delta\varphi$ ($|\Delta y| 1$, left), the near-side on $\Delta y$ ($|\Delta\varphi| \pi/2$, middle), and the away-side on $\Delta y$ ($\pi/2 \Delta\varphi 3\pi/2$, right). Opposite-sign ($\Xi^{-}\pi^{+}+\overline{\Xi}^{+}\pi^{-}$) correlations are shown in grey squares, the same-sign ($\Xi^{-}\pi^{-}+\overline{\Xi}^{+}\pi^{+}$) correlations are black circles; the OS--SS difference is displayed in the bottom panels. Statistical and systematic uncertainties are represented by bars and boxes, respectively. The ALICE data are compared with the following models: \pythia{} Monash tune (blue), \pythia{} with junctions enabled (green), \pythia{} with junctions and ropes (yellow), \eposlhc{} (red), and \herwig{} (pink).

Detail description

Figure extracted from paper