Studying strangeness and baryon production mechanisms through angular correlations between charged $Ξ$ baryons and identified hadrons in pp collisions at $\sqrt{s}$ = 13 TeV

Description
Figures from paper submitted to Journal of High Energy Physics
Abstract:

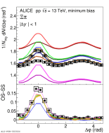
The angular correlations between charged $\Xi$ baryons and associated identified hadrons (pions, kaons, protons, $\Lambda$ baryons, and $\Xi$ baryons) are measured in pp collisions at $\sqrt{s} = 13$ TeV with the ALICE detector to give insight into the particle production mechanisms and balancing of quantum numbers on the microscopic level. In particular, the distribution of strangeness is investigated in the correlations between the doubly-strange $\Xi$ baryon and mesons and baryons that contain a single strange quark, K and $\Lambda$. As a reference, the results are compared to $\Xi\pi$ and $\Xi\mathrm{p}$ correlations, where the associated mesons and baryons do not contain a strange valence quark. These measurements are expected to be sensitive to whether strangeness is produced through string breaking or in a thermal production scenario. Furthermore, the multiplicity dependence of the correlation functions is measured to look for the turn-on of additional particle production mechanisms with event activity. The results are compared to predictions from the string-breaking model PYTHIA 8, including tunes with baryon junctions and rope hadronisation enabled, the cluster hadronisation model HERWIG 7, and the core-corona model EPOS-LHC. While some aspects of the experimental data are described quantitatively or qualitatively by the Monte Carlo models, no model can match all features of the data. These results provide stringent constraints on the strangeness and baryon number production mechanisms in pp collisions.

JHEP 09 (2024) 102
e-Print: arXiv:2308.16706 | PDF | inSPIRE

Paper

Energy
13 TeV
System
p-p
Scope: PWG
PWG-CF (Flow and Correlations)
Figure image (.eps)
Figure image (.pdf)
Energy
13 TeV
System
p-p
Scope: PWG
PWG-CF (Flow and Correlations)
Figure image (.eps)
Figure image (.pdf)
Energy
13 TeV
System
p-p
Scope: PWG
PWG-CF (Flow and Correlations)
Figure image (.eps)
Figure image (.pdf)
Energy
13 TeV
System
p-p
Scope: PWG
PWG-CF (Flow and Correlations)
Figure image (.eps)
Figure image (.pdf)
Energy
13 TeV
System
p-p
Scope: PWG
PWG-CF (Flow and Correlations)
Figure image (.eps)
Figure image (.pdf)
Energy
13 TeV
System
p-p
Scope: PWG
PWG-CF (Flow and Correlations)
Figure image (.eps)
Figure image (.pdf)
Energy
13 TeV
System
p-p
Scope: PWG
PWG-CF (Flow and Correlations)
Figure image (.eps)
Figure image (.pdf)
Energy
13 TeV
System
p-p
Scope: PWG
PWG-CF (Flow and Correlations)
Figure image (.eps)
Figure image (.pdf)
Energy
13 TeV
System
p-p
Scope: PWG
PWG-CF (Flow and Correlations)
Figure image (.eps)
Figure image (.pdf)
Energy
13 TeV
System
p-p
Scope: PWG
PWG-CF (Flow and Correlations)
Figure image (.eps)
Figure image (.pdf)
Energy
13 TeV
System
p-p
Scope: PWG
PWG-CF (Flow and Correlations)
Figure image (.eps)
Figure image (.pdf)
Energy
13 TeV
System
p-p
Scope: PWG
PWG-CF (Flow and Correlations)
Figure image (.eps)
Figure image (.pdf)
Energy
13 TeV
System
p-p
Scope: PWG
PWG-CF (Flow and Correlations)
Energy
13 TeV
System
p-p
Scope: PWG
PWG-CF (Flow and Correlations)
Energy
13 TeV
System
p-p
Scope: PWG
PWG-CF (Flow and Correlations)
Figure image (.eps)
Figure image (.pdf)
Energy
13 TeV
System
p-p
Scope: PWG
PWG-CF (Flow and Correlations)
Figure image (.eps)
Figure image (.pdf)
Energy
13 TeV
System
p-p
Scope: PWG
PWG-CF (Flow and Correlations)
Figure image (.eps)
Figure image (.pdf)
Energy
13 TeV
System
p-p
Scope: PWG
PWG-CF (Flow and Correlations)
Figure image (.eps)
Figure image (.pdf)
Energy
13 TeV
System
p-p
Scope: PWG
PWG-CF (Flow and Correlations)
Figure image (.eps)
Figure image (.pdf)
Energy
13 TeV
System
p-p
Scope: PWG
PWG-CF (Flow and Correlations)
Figure image (.eps)
Figure image (.pdf)
Energy
13 TeV
System
p-p
Scope: PWG
PWG-CF (Flow and Correlations)
Figure image (.eps)
Figure image (.pdf)
Energy
13 TeV
System
p-p
Scope: PWG
PWG-CF (Flow and Correlations)
Figure image (.eps)
Figure image (.pdf)
Energy
13 TeV
System
p-p
Scope: PWG
PWG-CF (Flow and Correlations)
Figure image (.eps)
Figure image (.pdf)
Energy
13 TeV
System
p-p
Scope: PWG
PWG-CF (Flow and Correlations)
Figure image (.eps)
Figure image (.pdf)
Energy
13 TeV
System
p-p
Scope: PWG
PWG-CF (Flow and Correlations)
Figure image (.eps)
Figure image (.pdf)
Energy
13 TeV
System
p-p
Scope: PWG
PWG-CF (Flow and Correlations)
Figure image (.eps)
Figure image (.pdf)
Energy
13 TeV
System
p-p
Scope: PWG
PWG-CF (Flow and Correlations)
Figure image (.eps)
Figure image (.pdf)
Energy
13 TeV
System
p-p
Scope: PWG
PWG-CF (Flow and Correlations)
Figure image (.eps)
Figure image (.pdf)
Energy
13 TeV
System
p-p
Scope: PWG
PWG-CF (Flow and Correlations)
Figure image (.eps)
Figure image (.pdf)
Energy
13 TeV
System
p-p
Scope: PWG
PWG-CF (Flow and Correlations)
Figure image (.eps)
Figure image (.pdf)
Energy
13 TeV
System
p-p
Scope: PWG
PWG-CF (Flow and Correlations)
Figure image (.eps)
Figure image (.pdf)
Energy
13 TeV
System
p-p
Scope: PWG
PWG-CF (Flow and Correlations)
Figure image (.eps)
Figure image (.pdf)
Energy
13 TeV
System
p-p
Scope: PWG
PWG-CF (Flow and Correlations)
Figure image (.eps)
Figure image (.pdf)
Energy
13 TeV
System
p-p
Scope: PWG
PWG-CF (Flow and Correlations)
Figure image (.eps)
Figure image (.pdf)
Energy
13 TeV
System
p-p
Scope: PWG
PWG-CF (Flow and Correlations)
Figure image (.eps)
Figure image (.pdf)
Energy
13 TeV
System
p-p
Scope: PWG
PWG-CF (Flow and Correlations)
Figure image (.eps)
Figure image (.pdf)
Energy
13 TeV
System
p-p
Scope: PWG
PWG-CF (Flow and Correlations)
Figure image (.eps)
Figure image (.pdf)
Energy
13 TeV
System
p-p
Scope: PWG
PWG-CF (Flow and Correlations)
Figure image (.eps)
Figure image (.pdf)
Energy
13 TeV
System
p-p
Scope: PWG
PWG-CF (Flow and Correlations)
Figure image (.eps)
Figure image (.pdf)
Energy
13 TeV
System
p-p
Scope: PWG
PWG-CF (Flow and Correlations)
Figure image (.eps)
Figure image (.pdf)
Energy
13 TeV
System
p-p
Scope: PWG
PWG-CF (Flow and Correlations)
Figure image (.eps)
Figure image (.pdf)
Energy
13 TeV
System
p-p
Scope: PWG
PWG-CF (Flow and Correlations)
Figure image (.eps)
Figure image (.pdf)
Energy
13 TeV
System
p-p
Scope: PWG
PWG-CF (Flow and Correlations)
Figure image (.eps)
Figure image (.pdf)
Energy
13 TeV
System
p-p
Scope: PWG
PWG-CF (Flow and Correlations)
Figure image (.eps)
Figure image (.pdf)
Energy
13 TeV
System
p-p
Scope: PWG
PWG-CF (Flow and Correlations)
Figure image (.eps)
Figure image (.pdf)
Energy
13 TeV
System
p-p
Scope: PWG
PWG-CF (Flow and Correlations)
Figure image (.eps)
Figure image (.pdf)
Energy
13 TeV
System
p-p
Scope: PWG
PWG-CF (Flow and Correlations)
Figure image (.eps)
Figure image (.pdf)
Energy
13 TeV
System
p-p
Scope: PWG
PWG-CF (Flow and Correlations)
Figure image (.eps)
Figure image (.pdf)
Energy
13 TeV
System
p-p
Scope: PWG
PWG-CF (Flow and Correlations)
Figure image (.eps)
Figure image (.pdf)
Energy
13 TeV
System
p-p
Scope: PWG
PWG-CF (Flow and Correlations)
Figure image (.eps)
Figure image (.pdf)
Energy
13 TeV
System
p-p
Scope: PWG
PWG-CF (Flow and Correlations)
Figure image (.eps)
Figure image (.pdf)