Figure 5

Scope: PWG
PWG-MM (Monte Carlo generators and Minimum Bias)
Energy
5.02 TeV
System
p-p
Pb-Pb
p-Pb
Figure Image
Figure image (.eps)
Figure image (.pdf)
Figure Caption

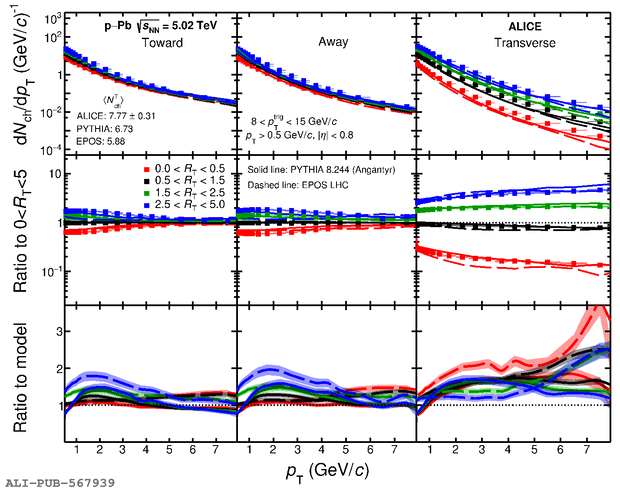
Top panel: charged-particle transverse momentum spectra as a function of \rt for different topological regions in \pPb collisions at $\sqrt{s_{\rm NN}}=5.02$\,TeV. Data are compared with \py and \ep predictions. Middle panel: the ratio of the \pt spectra in different \rt intervals to the \rt-integrated ones. The boxes and bars represent the systematic and statistical uncertainties, respectively. Bottom panel: the ratio of the \pt spectra for each \rt interval to the corresponding PYTHIA8 Angantyr and EPOS-LHC predictions. The shaded area represents the sum in quadrature of the systematic and statistical uncertainties.

Detail description

Figure extracted from paper