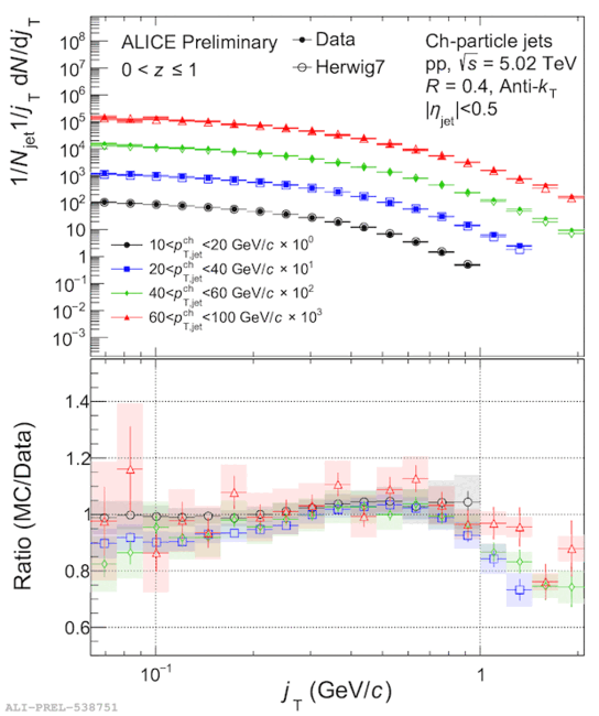
Measured $j_\mathrm{T}$ distributions in inclusive $z$ bin compared to Herwig

Scope: PWG
PWG-JE (Jets)
Energy
5.02 TeV
System
p-p
Figure Image
Figure image (.eps)
Figure image (.pdf)
Figure Caption

The upper panel shows the $j_\mathrm{T}$ distributions of charged particles in R = 0.4 anti-$k_\mathrm{T}$ charged-particle jets as measured with LHC 17p $pp$ collisions at $\sqrt{s}$ = 5.02 TeV and with HERWIG MC generator for different ranges of $p_\mathrm{T,jet}^\mathrm{ch}$ in inclusive $z$ bin ( $0 < z ≤ 1$ ). The bottom panel shows ratios of the $j_\mathrm{T}$ distributions from data with respect to the $j_\mathrm{T}$ distributions from HERWIG.

Detail description

The plot shows data analysis result of the $j_\mathrm{T}$ in inclusive $z$.

Filled markers indicate truth data $j_\mathrm{T}$ and open makers mean mc $j_\mathrm{T}$ generated with HERWIG.

$p_\mathrm{T,jet}^\mathrm{ch}$ ranges of 10~20, 20~40, 40~60, 60~100 GeV/$c$ are shown.