Scope: PWG
PWG-JE (Jets)
Energy
5.02 TeV
System
p-p
Figure Group
Figure Image
Figure image (.eps)
Figure image (.pdf)
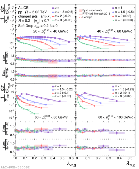
Figure Caption
Comparison of groomed jet angularities \angsd{} in \pp{}collisions for $R=0.2$ to MC predictions using PYTHIA8 and Herwig7, as described in the text. Four equally-sized \pTchjet{} intervals are shown between 20 and 100 \GeVc{}. The distributions arenormalized to the groomed jet tagging fraction.
Detail description
Figure extracted from paper