Dielectron production at midrapidity at low transverse momentum in peripheral and semi-peripheral Pb$-$Pb collisions at $\sqrt{s_{\rm NN}} = 5.02$ TeV

Description
Figures from paper submitted to Journal of High Energy Physics
Abstract:

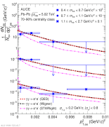
The first measurement of the ${\rm e}^{+}{\rm e}^{-}$ pair production at low lepton pair transverse momentum ($p_{\rm T,ee}$) and low invariant mass ($m_{\rm ee}$) in non-central Pb$-$Pb collisions at $\sqrt{s_{\rm NN}} = 5.02$ TeV at the LHC is presented. The dielectron production is studied with the ALICE detector at midrapidity ($|\eta_{\rm e}| <~ 0.8$) as a function of invariant mass ($0.4 \leq m_{\rm ee} <~ 2.7$ GeV/$c^2$) in the 50$-$70% and 70$-$90% centrality classes for $p_{\rm T,ee} <~ 0.1$ GeV/$c$, and as a function of $p_{\rm T,ee}$ in three $m_{\rm ee}$ intervals in the most peripheral Pb$-$Pb collisions. Below a $p_{\rm T,ee}$ of 0.1 GeV/$c$, a clear excess of ${\rm e}^{+}{\rm e}^{-}$ pairs is found compared to the expectations from known hadronic sources and predictions of thermal radiation from the medium. The $m_{\rm ee}$ excess spectra are reproduced, within uncertainties, by different predictions of the photon$-$photon production of dielectrons, where the photons originate from the extremely strong electromagnetic fields generated by the highly Lorentz-contracted Pb nuclei. Lowest-order quantum electrodynamic (QED) calculations, as well as a model that takes into account the impact-parameter dependence of the average transverse momentum of the photons, also provide a good description of the $p_{\rm T,ee}$ spectra. The measured $\sqrt{\langle p_{\rm T,ee}^{2} \rangle}$ of the excess $p_{\rm T,ee}$ spectrum in peripheral Pb$-$Pb collisions is found to be comparable to the values observed previously at RHIC in a similar phase-space region.

JHEP 06 (2023) 024
e-Print: arXiv:2204.11732 | PDF | inSPIRE

Paper

Energy
5.02 TeV
System
Pb-Pb
Scope: PWG
PWG-EM (Electromagnetic probes)
Figure image (.eps)
Figure image (.pdf)
Energy
5.02 TeV
System
Pb-Pb
Scope: PWG
PWG-EM (Electromagnetic probes)
Figure image (.eps)
Figure image (.pdf)
Energy
5.02 TeV
System
Pb-Pb
Scope: PWG
PWG-EM (Electromagnetic probes)
Energy
5.02 TeV
System
Pb-Pb
Scope: PWG
PWG-EM (Electromagnetic probes)
Figure image (.eps)
Figure image (.pdf)
Energy
5.02 TeV
System
Pb-Pb
Scope: PWG
PWG-EM (Electromagnetic probes)
Figure image (.eps)
Figure image (.pdf)
Energy
5.02 TeV
System
Pb-Pb
Scope: PWG
PWG-EM (Electromagnetic probes)
Energy
5.02 TeV
System
Pb-Pb
Scope: PWG
PWG-EM (Electromagnetic probes)
Energy
5.02 TeV
System
Pb-Pb
Scope: PWG
PWG-EM (Electromagnetic probes)
Energy
5.02 TeV
System
Pb-Pb
Scope: PWG
PWG-EM (Electromagnetic probes)
Energy
5.02 TeV
System
Pb-Pb
Scope: PWG
PWG-EM (Electromagnetic probes)
Figure image (.eps)
Figure image (.pdf)