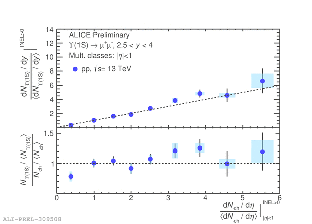
Υ(1S) yield at forward-rapidity as a function of the charged particle multiplicity at mid-rapidity with the deviation from linearity

Scope: PWG
PWG-DQ (Dileptons and Quarkonia)
Energy
13 TeV
System
p-p
Figure Group
Figure Image
Figure image (.eps)
Figure image (.pdf)
Figure Caption

Top Panel:

Υ(1S) yield dNΥ(1S) /dy at forward-rapidity (Υ(1S) →mu+mu−, 2.5 < y <4.0)  as a function of charged-particle multiplicity densities at mid-rapidity dNch/dη for pp collisions at \sqrt{s} = 13 TeV. The relative Υ(1S) yields are normalized by the corresponding value for minimum bias pp collisions (dNΥ(1S)/dy, dNch/dη). The error bars represent the statistical uncertainty on the Υ(1S) yields, while the point-by-point systematic uncertainties on the Υ(1S) yield is depicted as boxes. The dotted linear line (y=x) is drawn to see the deviation from non-linearity of the points.

 

Bottom panel:

The ratio of relative yield of Υ(1S) to relative yield of charged-particle multiplicity.

Detail description

Top Panel:

Υ(1S) yield dNΥ(1S) /dy at forward-rapidity (Υ(1S) →mu+mu−, 2.5 < y <4.0)  as a function of charged-particle multiplicity densities at mid-rapidity dNch/dη for pp collisions at \sqrt{s} = 13 TeV. The relative Υ(1S) yields are normalized by the corresponding value for minimum bias pp collisions (dNΥ(1S)/dy, dNch/dη). The error bars represent the statistical uncertainty on the Υ(1S) yields, while the point-by-point systematic uncertainties on the Υ(1S) yield is depicted as boxes. The dotted linear line (y=x) is drawn to see the deviation from non-linearity of the points.

 

Bottom panel:

The ratio of relative yield of Υ(1S) to relative yield of charged-particle multiplicity.