Scope: PWG
PWG-LF (Light Flavour Spectra)
Energy
5.02 TeV
System
Pb-Pb
Figure Image
Figure image (.eps)
Figure image (.pdf)
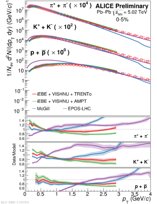
Figure Caption
Charged Pion, Kaon and Proton spectra for centrality class 0-5%, measured in Pb-Pb collisions at 5.02 TeV compared with model predictions.
The Data/Model ratios are shown in the bottom panels.
Detail description
Charged Pion, Kaon and Proton spectra for centrality class 0-5% in Pb-Pb collisions at sqrt(s_NN) = 5.02 TeV compared to hydro models.
The hydro models that have been used are:
- iEbE-VISHNU with TRENTo and AMPT initial conditions (https://arxiv.org/abs/1703.10792)
- EPOS-LHC (Phys. Rev. C 92, 034906 (2015))
- McGill with IP-Glasma initial conditions (https://arxiv.org/abs/1609.02958)
The Data/Model ratios are shown in the bottom panels.