Figure 8b

Scope: PWG
PWG-CF (Flow and Correlations)
Energy
2.76 TeV
5.02 TeV
13 TeV
System
p-p
p-Pb
Pb-Pb
Figure Image
Figure image (.eps)
Figure image (.pdf)
Figure Caption

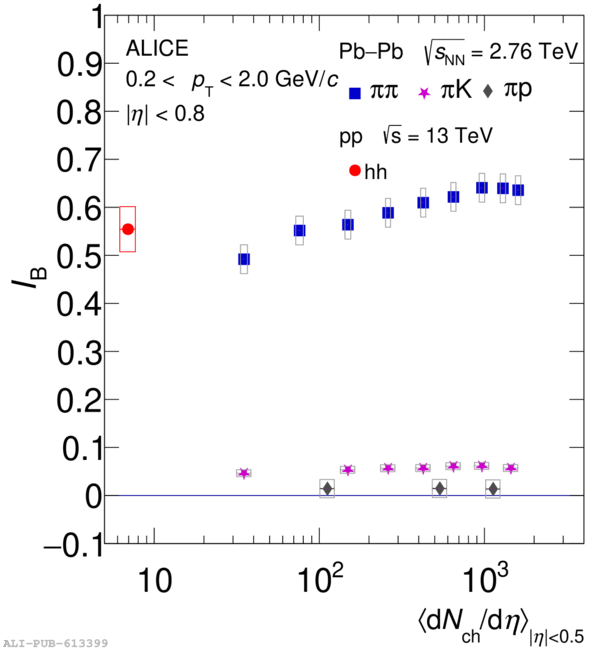
Balance function (left panel) of charged hadrons, in the selected $\pt$ range, obtained using ALICE data in pp collisions at $\s$ = 13 TeV. Integral of $B$ (right panel) results for charged hadrons in pp collisions at $\s$ = 13 TeV compared with the $B$ integral of identified hadron ($\pi \pi$, $\pi$K, and $\pi$p) pairs in Pb--Pb collisions at $\snn$ = 2.76 TeV~. Vertical bars and boxes represent statistical and systematic uncertainties, respectively.

Detail description

Figure extracted from paper