Scope: PWG
PWG-JE (Jets)
Energy
5.02 TeV
System
p-Pb
Figure Image
Figure image (.eps)
Figure image (.pdf)
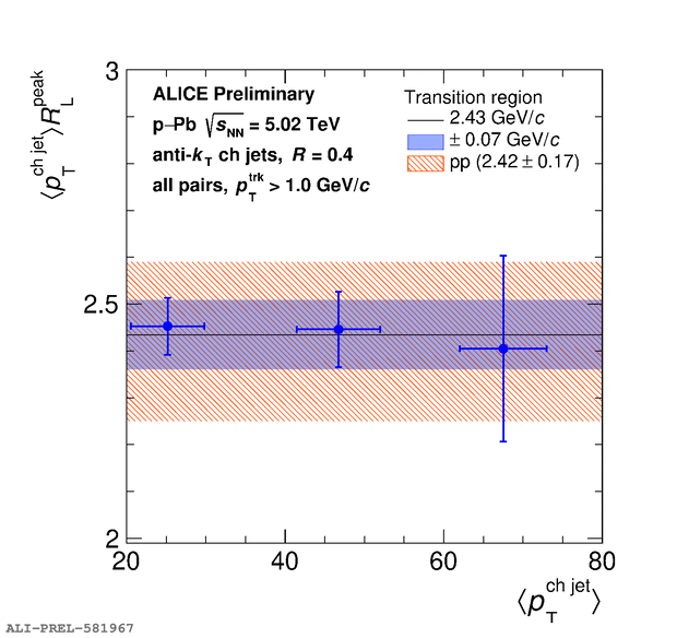
Figure Caption
Extracted peak positions for p^{avg}_{T, ch jet}R_{L} rescaled EECs, as a function of p^{avg}_{T, ch jet}.
Detail description
LHC16qt