Ratio of Pi0 z spectra (Fragmentation function) for data and PYTHIA to parameterization (logx)

Scope: PWG
PWG-EM (Electromagnetic probes)
Energy
13 TeV
System
p-p
Figure Image
Figure Caption

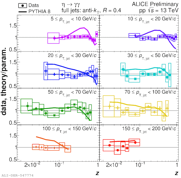
Ratio of Pi0 z spectra (Fragmentation function) for data and PYTHIA to parameterization (logx)

Detail description

Ratio of Pi0 Fragmentation function (z) inside jets for data and PYTHIA to Tsallis parameterization in different jet pT intervals with logarithmic x-axis. The results are combined from results using the PCM, EMC and PCM-EMC Pi0 reconstruction technique . Jet reconstruction using full jets with cluster energy > 0.3 GeV and track momentum > 0.15 GeV/c.

Data sample: pp 13 TeV:  LHC16g,h,i,j,k,l,o,p LHC17c,g,h,i,j,k,l,m,n,o,r LHC18b,c,d,e,f,g,h,i,j,k,l,m,n,o,p

Reco Pass: pass1 (pass2 for LHC16k,l)