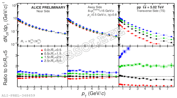
pT spectra for RT dependence of charged particle production for different topological regions in pp collisions at 5.02 TeV

Scope: PWG
PWG-MM (Monte Carlo generators and Minimum Bias)
Energy
5.02 TeV
System
p-p
Figure Image
Figure image (.eps)
Figure image (.pdf)
Figure Caption

Upper panel: pT spectra for RT dependence of charged particle production for different topological regions in pp collisions at 5.02 TeV. Lower panel: Ratio of pT spectra to the minimum bias (0<=RT<5) spectra.

Detail description

Keywords: Charged particle production, Relative transverse activity Classifier (RT), pT spectra

Data type: ESDs

Data sample: LHC15n pass4

Event cuts: Standard event selction cuts used for light flavor particles with kINT7 trigger, pT leading cut: 8-15 GeV/c

Track cuts: ITSTPC 2015 track cuts for pT spectra, TPConly+ITS Refit + TPC Refit for determination of charged-particle multiplicity in transverse region

Kinematic cuts: pT>0.5 GeV/c, |eta|<0.8

AliRoot/AliPhysics versions: AliPhysics::vAN-20200218_ROOT6 or later