Figure 7. (left) from arXiv:1802.09145

Scope: PWG
PWG-LF (Light Flavour Spectra)
Energy
2.76 TeV
5.02 TeV
System
p-p
Pb-Pb
p-Pb
Figure Image
Figure image (.eps)
Figure image (.pdf)
Figure Caption

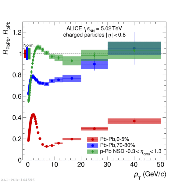
 Nuclear modification  factors measured by ALICE in central (0--5\%) and peripheral  (70--80\%) Pb--Pb collisions and in p--Pb collisions at $\snn =  5.02$ TeV. 

Detail description
  • Transverse momentum spectra and nuclear modification factors of charged particles in pp, p-Pb and Pb-Pb collisions at the LHC arXiv:1802.09145

  • Nuclear modification factors, RAA, RpPb, 5.02 TeV, charged particles
  • Data sample: p-Pb (LHC13b pass3, LHC13c pass2), Pb-Pb (LHC15o pass1_pidfix), pp (LHC15n pass3)
  • Reco Pass: p-Pb (LHC13b pass3, LHC13c pass2), Pb-Pb (LHC15o pass1_pidfix), pp (LHC15n pass3)
  • Event cuts: |zv|<10 cm , trigger V0and + standarad offline selection
  • Track cuts: see https://alice-notes.web.cern.ch/node/473&nbsp; for details