Figure 1b

Scope: PWG
PWG-CF (Flow and Correlations)
Energy
13 TeV
System
p-p
Figure Image
Figure image (.eps)
Figure image (.pdf)
Figure Caption

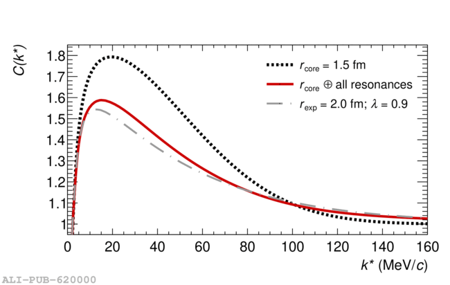
Calculation of the source function (left) and corresponding \spipi correlation function (right), performed using CATS~ employing the RSM. The RSM~(full red line) is compared to the usual assumption of an exponential~(dash-dotted grey line) source distribution with a radius $r_{\mathrm{exp}}$ of the source and a purely Gaussian~(dotted black line) source.

Detail description

Figure extracted from paper