Figure 8

Scope: PWG
PWG-LF (Light Flavour Spectra)
Energy
5.02 TeV
System
Pb-Pb
Figure Image
Figure image (.eps)
Figure image (.pdf)
Figure Caption

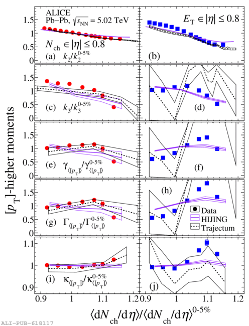
Higher-order moments of $[\pt]$ for events selected with the \nch (I) and \et (III) centrality estimators at midrapidity in \PbPb collisions at \fivenn are shown in the left and right columns, respectively. The data are compared with predictions from the HIJING~ and Trajectum~ models. The width of the bands represents the statistical uncertainty in the HIJING predictions. The bands around the Trajectum predictions represent the sum in quadrature of the statistical and systematic uncertainties, with the latter being the dominant source.

Detail description

Figure extracted from paper