Figure 1

Scope: PWG
PWG-CF (Flow and Correlations)
Energy
5.02 TeV
5.44 TeV
System
Pb-Pb
Xe-Xe
Figure Image
Figure image (.eps)
Figure image (.pdf)
Figure Caption

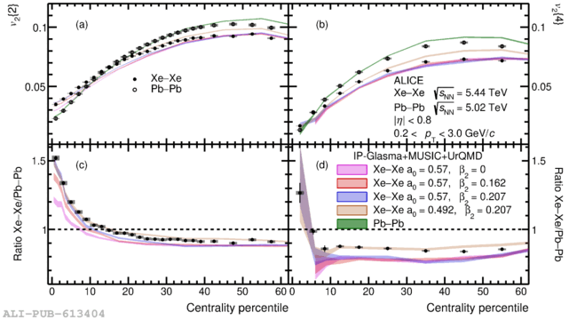
Panels (a) and (b): Charged particle $v_2\{2, \etagap{1.0}\}$ (left) and $v_2\{4\}$ (right) as a function of centrality in \XeXe and \PbPb collisions at \fivefourfour and \fivenn, respectively. Panels (c) and (d): Ratio between \XeXe and \PbPb $v_2\{2, \etagap{1.0}\}$ (left) and $v_2\{4\}$ (right). Statistical and systematical uncertainties are shown as vertical lines and grey boxes, respectively. The measurements are compared with IP-Glasma+MUSIC+UrQMD calculations~ to constrain the $\beta_2$ and $a_0$ parameters of $^{129}$Xe nuclei. The thickness of the bands represent statistical uncertainties.

Detail description

Figure extracted from paper