Scope: PWG
PWG-LF (Light Flavour Spectra)
Energy
5.02 TeV
System
p-Pb
Figure Image
Figure image (.eps)
Figure image (.pdf)
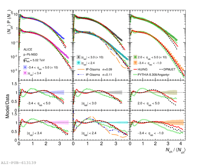
Figure Caption
KNO-scaled multiplicity distribution versus the KNO variable $N_{\rm ch}/\langle N_{\rm ch}\rangle$ in NSD \pPb collisions at \fivenn for various pseudorapidity intervals. Comparison with predictions from HIJING, DPMJET, \angantyr, and the IP-Glasma model are shown. The ratios between models and data are calculated using a linear interpolation between adjacent points.
Detail description
Figure extracted from paper