Figure 1

Scope: PWG
PWG-CF (Flow and Correlations)
Energy
5.02 TeV
System
Pb-Pb
Figure Image
Figure image (.eps)
Figure image (.pdf)
Figure Caption

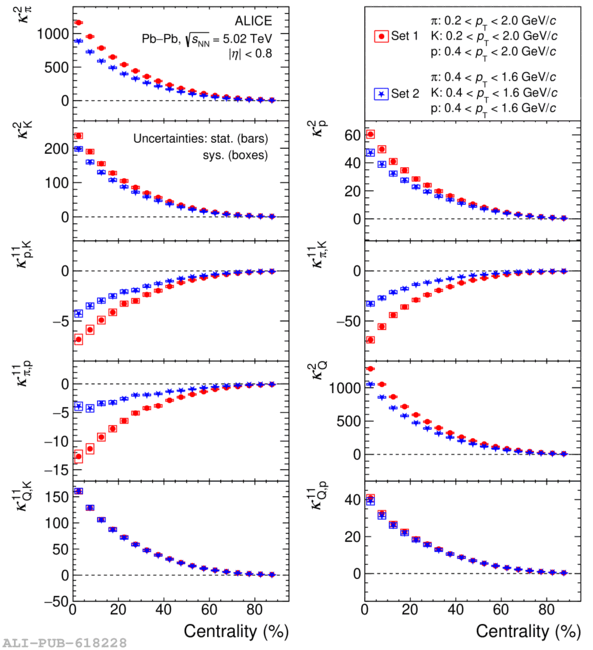
Centrality dependence of diagonal cumulants ($\kappa^{2}_{\alpha}$) and off-diagonal cumulants ($\kappa^{11}_{\alpha,\beta}$) for the net-pion, net-kaon, net-proton, and net-charged particle distributions in Pb--Pb collisions at $\sqrt{s_\mathrm{NN}}=5.02$~TeV. The measurements are shown for two different $p_\mathrm{T}$ ranges. The statistical (systematic) uncertainties are represented by vertical bars (boxes).

Detail description

Figure extracted from paper