Scope: PWG
PWG-CF (Flow and Correlations)
Energy
5.02 TeV
5.44 TeV
13 TeV
System
p-p
Pb-Pb
Xe-Xe
Figure Group
Figure Image
Figure image (.eps)
Figure image (.pdf)
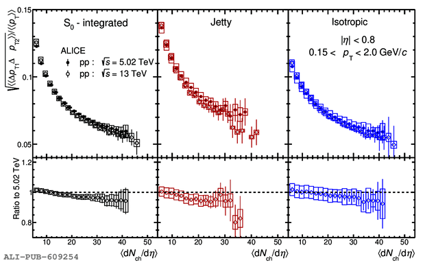
Figure Caption
Upper panels: Comparison of the normalized transverse momentum correlator, $\sqrt{ \llangle \Delta p_{{\rm T}1}\Delta p_{{\rm T}2} \rrangle }/\llangle p_{\rm T} \rrangle $ as a function of charged-particle density in pp collisions at $\sqrt{s}=5.02$ and \s = 13~TeV for spherocity-integrated (left), jetty (middle) and isotropic (right) events; Lower panels: Ratio of the $\sqrt{ \llangle \Delta p_{{\rm T}1}\Delta p_{{\rm T}2} \rrangle }/\llangle p_{\rm T} \rrangle $ in pp collisions at $\sqrt{s}=13$ TeV to $\sqrt{s}=5.02$ TeV. The statistical and systematic uncertainties of the measured data for all spherocity classes are represented by vertical bars and boxes, respectively.
Detail description
Figure extracted from paper