Figure A.1a

Scope: PWG
PWG-EM (Electromagnetic probes)
Energy
13 TeV
System
p-p
Figure Image
Figure image (.eps)
Figure image (.pdf)
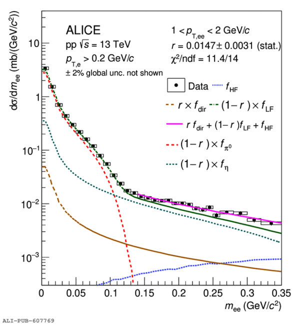
Figure Caption

Fit of the dielectron cross section as a function of mass in INEL (left) and HM (right) pp collisions in the $1 \ptee 2$ \GeVc interval with a three-component fit function to extract the fraction of direct photons to inclusive photons $r$. Statistical and systematic uncertainties of the data are displayed as vertical bars and boxes, respectively. Global luminosity uncertainty of 2\% is not shown in the Figure. The resulting fraction of direct photons $r$ is shown together with its statistical uncertainty. The templates for dielectrons from LF, HF and direct photons are shown as different dashed lines, and the resulting fit is shown as a solid magenta line. The contributions from $\pi^{0}$ and $\eta$ mesons are also shown as separate lines.

Detail description

Figure extracted from paper