Scope: PWG
PWG-LF (Light Flavour Spectra)
Energy
5.02 TeV
System
Pb-Pb
Figure Group
Figure Image
Figure image (.eps)
Figure image (.pdf)
Figure Caption
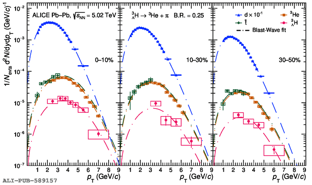
Deuteron (d), antitriton ($\mathrm{\overline{t}}$), \he~, and \hyp spectra measured in \PbPb collisions at \snn = 5.02 TeV. Each panel shows a centrality interval and different nuclei are reported with different colours. For \hyp, the average spectra between particles and antiparticles is employed The width of the boxes refers to the range of the \pt intervals, while their height represents the systematic uncertainties. The vertical lines are the statistical uncertainties. The combined Blast-Wave fit parameters for d, $\mathrm{\overline{t}}$, \he, and \hyp are listed in Table~\ref{table:bwpara}.
Detail description
Figure extracted from paper