Figure 25

Energy
2.76 TeV
5.02 TeV
7 TeV
8 TeV
13 TeV
System
p-p
Pb-Pb
p-Pb
Figure Image
Figure image (.eps)
Figure image (.pdf)
Figure Caption

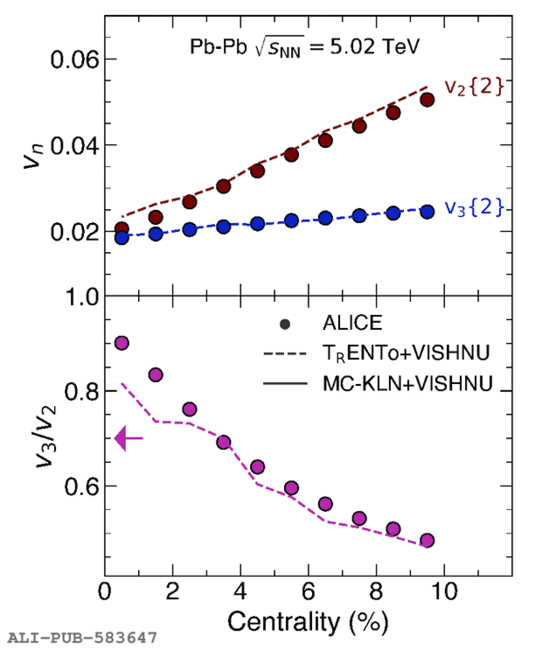
Measurements of charged hadron $\it{v}_{n}$ coefficients in central Pb--Pb collisions at $\sqrt{s_{\rm{NN}}}=$ 5.02 TeV~ compared with hydrodynamic calculations~. The arrow denotes predictions from Ref.~ for 0--0.2\% Pb--Pb collisions.

Detail description

Figure extracted from paper