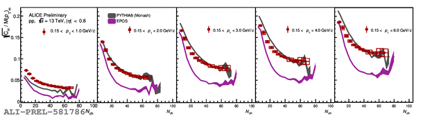
Comparison of Pythia8 (Monash) and EPOS models to normalized mean $\it{p}_{\rm{T}}$ correlator as charged particle multiplicity for increasing upper limit of $\it{p}_{\rm{T}}$ windows

Scope: PWG
PWG-CF (Flow and Correlations)
Energy
13 TeV
System
p-p
Figure Image
Figure image (.eps)
Figure image (.pdf)
Figure Caption

Comparison of Pythia8 (Monash) and EPOS models to normalized mean $\it{p}_{\rm{T}}$ correlator as charged particle multiplicity for increasing upper limit of $\it{p}_{\rm{T}}$ windows