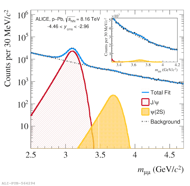
Figure 1b

Scope: PWG
PWG-DQ (Dileptons and Quarkonia)
Energy
8 TeV
13 TeV
System
p-p
p-Pb
Figure Image
Figure image (.eps)
Figure image (.pdf)
Figure Caption

Invariant-mass distribution of opposite-sign muon pairs in (a) forward \pPb, (b) backward \pPb, and (c) \pp data, integrated in multiplicity. Superimposed is a typical fit function, shown as a solid blue line (see text on details regarding the fit components). The $\Jpsi$ and $\psip$ contributions are shown as red and yellow shaded areas, respectively. Finally the background is depicted as a dashed gray line. The inset shows the region of the $\psip$ mass.

Detail description

Figure extracted from paper