Scope: PWG
PWG-JE (Jets)
Energy
13 TeV
System
p-p
Figure Image
Figure image (.eps)
Figure image (.pdf)
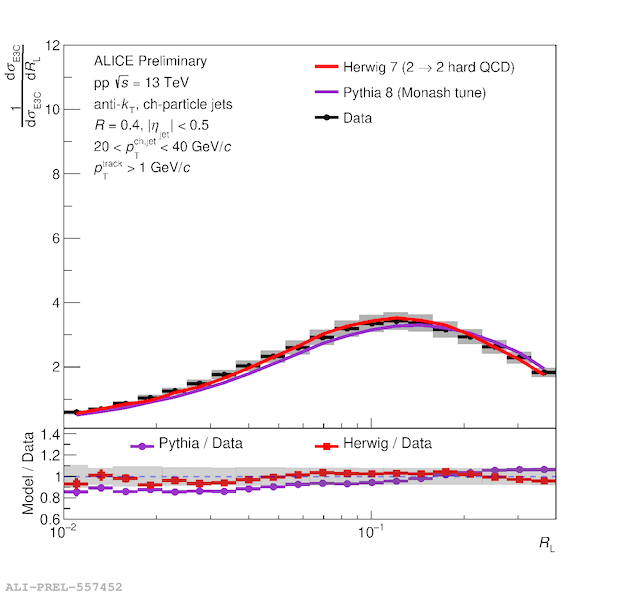
Figure Caption
E3C model comparison in 20-40 GeV jet pT bin