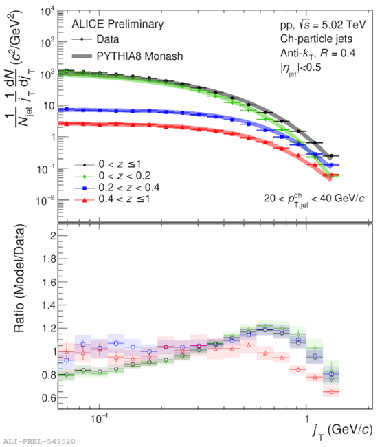
$j_\mathrm{T}$ distributions in $20 < p_\mathrm{T,jet}^\mathrm{ch} < 40 \;\mathrm{ GeV}/c$ in differential $z$ compared to PYTHIA8 Monash

Scope: PWG
PWG-JE (Jets)
Energy
5.02 TeV
System
p-p
Figure Image
Figure image (.eps)
Figure image (.pdf)
Figure Caption

The upper panel shows the $j_\mathrm{T}$ distributions of charged particles n R = 0.4 anti-$k_\mathrm{T}$ charged-particle jets as measured with LHC 17p $pp$ collisions at $\sqrt{s}$ = 5.02 TeV and PYTHIA8 Monash MC generator in $20 < p_\mathrm{T,jet}^\mathrm{ch} < 40 \mathrm{GeV}/c$ in several $z$ ranges. The bottom panel shows ratios of $j_\mathrm{T}$ distributions of data with respect to the of PYTHIA8 Monash.

Detail description

This figure is the derived plot from the last preliminaries.

Markers indicate the data $j_\mathrm{T}$ distributions and the line shows the $j_\mathrm{T}$ distributions from MC model.

$z$ ranges of 0 < $z$ 0.2, 0.2 < $z$ < 0.4, 0.4 < $z \leq$ 1 are shown.