Figure 9

Scope: PWG
PWG-LF (Light Flavour Spectra)
Energy
8 TeV
System
p-Pb
Figure Image
Figure image (.eps)
Figure image (.pdf)
Figure Caption

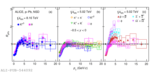
The nuclear modification factor \RpPb as a function of transverse momentum \pt for different particle species in \pPb collisions at \snn = 5.02 and 8.16 TeV. For comparison the results for $\pi$, K, and p~ are also shown. The statistical and systematic uncertainties are represented by vertical bars and boxes, respectively. The normalization uncertainties are shown in each panel as boxes around \RpPb $=$ 1 near \pt $=$ 0 \GeVc.

Detail description

Figure extracted from paper