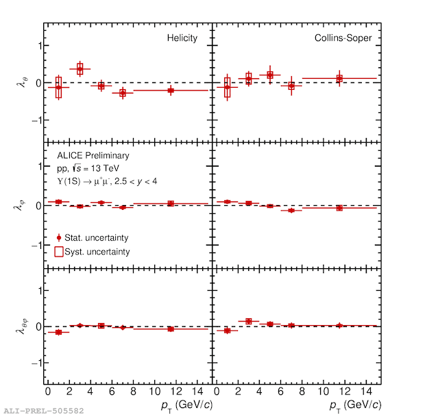
$\Upsilon$(1S) polarization as a function of transverse momentum

Scope: PWG
PWG-DQ (Dileptons and Quarkonia)
Energy
13 TeV
System
p-p
Figure Image
Figure image (.eps)
Figure image (.pdf)
Figure Caption

$\Upsilon$(1S) polarization parameters ($\it {\lambda}_{\it{\theta}}$,  $\it {\lambda}_{\it{\varphi}}$ and $\it {\lambda}_{\it{\theta\varphi}}$) as a function of transverse momentum in Helicity and Collins-Soper frames

Detail description

1) Data sample: pp 13 TeV 2016, 2017 and 2018 

    2016: f, g, h, i, j, k, o, p
    2017: h, i, k, l, m, o, r
    2018: b, c, d, e, f, g, h, i, j, l, m, o, p

2) Event selection: dimuon triggered event with physics selection

3) Kinematic cuts

Single muon
   -- 17.6~cm < $R_{\rm {abs}}$ < 89.5~cm: remove contamination by tracks crossing the thicker part of the absorber ($R_{\rm {abs}}$ = radial coordinate of the muon candidate at the end of the absorber)
   -- Reconstructed track matching a trigger track with $p_{\rm T}^{\rm \mu} > 0.5$~GeV/$\it{c}$
   -- pDCA (product of the muon total momentum (p) and its Distance of Closest Approach (DCA) within 6$\sigma$ of the distribution)
   -- Track within the acceptance of the spectrometer $-4 < \eta_{\rm \mu} < -2.5$

Dimuon
  -- Total charge of the pair = 0
  -- Dimuon pair within the acceptance of the spectrometer $2.5 < y_{\rm \mu^{+}\mu^{-}} < 4$