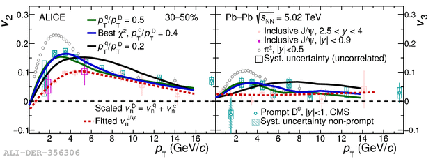
J/$\psi$ $v_2$ and $v_3$ as function of $p_T$ in 30-50% and NCQ scaling formula

Scope: PWG
PWG-DQ (Dileptons and Quarkonia)
Energy
5.02 TeV
System
Pb-Pb
Figure Image
Figure image (.eps)
Figure image (.pdf)
Figure Caption

Elliptic (left panels) and triangular (right panels) flow of inclusive J/$\psi$, D-mesons and charged pions as a function of $p_T$ for the centrality intervals 30-50%. The continuous curves show the calculated D-meson flow based on different values of the $p_T$ fraction carried by the light quark (see text). The red dashed curves show the fits to the J/$\psi$ $v_n$ using ad-hoc functions (see text).

Detail description

Analyses details can be found in their corresponding analysis notes, for both dimuons and dielectrons results.

For dimuon analysis: https://alice-notes.web.cern.ch/node/950

For dielectron analysis: https://alice-notes.web.cern.ch/node/955