pT Spectra of phi Mesons in pp Collisions at 13 TeV in V0M Multiplicity Event Classes

Scope: PWG
PWG-LF (Light Flavour Spectra)
Energy
13 TeV
System
p-p
Figure Image
Figure image (.eps)
Figure Caption

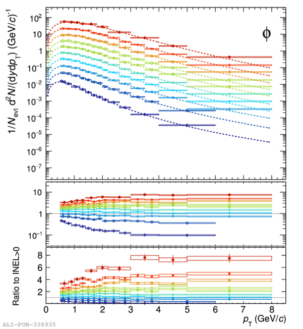
Figure 1 (right): $p_{\mathrm{T}}$ spectra of $\phi$ in pp collisions at $\sqrt{s}$ = 13 TeV for different multiplicity classes, scaled by factors as indicated. The lower panels show the ratios of the multiplicity-dependent $p_{\mathrm{T}}$ spectra to the multiplicity-integrated INEL>0 spectra (with both linear and logarithmic vertical scales). The legend is visible in the left panel (https://alice-figure.web.cern.ch/node/16866.)

Detail description

Data sample: LHC15f, pass2, ESDs

Simulations: LHC15g3a3, LHC15g3c3, LHC16d3

Event selection: Physics Selection, |vz|<10 cm, other standard event-selection cuts for PWG-LF 13-TeV analyses (AliMultSelectionTask)

Track Cuts: standard ITS/TPC track cuts 2011

PID: TPC, TOF veto

Keywords: pT distribution, phi meson, resonances, multiplicity dependence, small systems