Compilation of light flavoured hadrons in pPb 5TeV (lin pt scale)

Scope: PWG
PWG-GA (Photons, Neutral Mesons)
Energy
5.02 TeV
System
p-Pb
Figure Image
Figure Caption

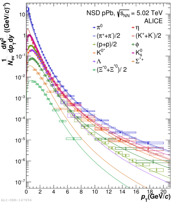
Compilation of the measured light flavoured inelastic particle yields: arXiv:1801.07051 (π 0 , η), arXiv:1601.03658 (p, K ± , π ± ), arXiv:1307.6796 (Ks0 , Λ), arXiv:1601.07868 (φ, K0∗ ), arXiv:1701.07797 (Σ ± , Ξ 0 ).

Detail description

Compilation of the measured light flavoured inelastic particle yields: arXiv:1801.07051 (π 0 , η), arXiv:1601.03658 (p, K ± , π ± ), arXiv:1307.6796 (Ks0 , Λ), arXiv:1601.07868 (φ, K0∗ ), arXiv:1701.07797 (Σ ± , Ξ 0 ).